各院(部):
为进一步规范课程考核材料归档,促进教学档案工作的标准化和规范化,现就《山东青年政治学院学业考核工作管理办法》(山青院字〔2015〕119号)之附件7《山东青年政治学院课程考核材料归档规范》作如下补充:
一、过程性考核材料的归档
过程性考核材料是体现学生阶段性学习效果的有效支撑材料,包括教师制定的课程考核实施方案中各考核环节能体现学生成绩的所有材料。过程性考核材料的归档应全面,能体现学生课程学习效果的全过程。具体要求如下:
1.课程考核实施方案中每一个考核项目均须有成绩记录和对应的原始考核材料。其中,“平时作业”作为一个过程性考核项目时,可以在不同分数区段中选取5-10份作业存档;“案例分析、课程实践报告、小论文、课堂展示”等形式的过程性考核项目,其材料的归档可以根据实际情况抽样保存,覆盖面要广,应能体现出成绩分布梯度,每一个项目的保存数量应不少于授课班级人数的30%,且每一个项目的总存档份数不低于10份。
2.所有过程性考核材料,应封装在过程性考核材料档案袋内,档案袋封皮写清过程性考核项目,档案袋和期末考核材料一并装于课程考核材料袋内进行封装。
二、课程考核材料的归档
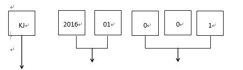
课程考核材料由教务处统一保存,各院(部)负责所开设课程的课程考核材料档案的收缴、整理、移交、抽调等具体事项。各院(部)应对每学期开设课程的课程考核材料档案进行编码,编码规则如下:

开课院部(简称)首字母 考试时间 考核材料档案袋顺序号
各院(部)简称及对应的首字母如下表:
|
院(部)全称
|
院(部)简称
|
首字母
|
|
政治与公共管理学院
|
政管学院
|
ZG
|
|
经济管理学院
|
经管学院
|
JG
|
|
信息工程学院
|
信工学院
|
XG
|
|
会计学院
|
会计学院
|
KJ
|
|
文化传播学院
|
文传学院
|
WC
|
|
外国语学院
|
外语学院
|
WY
|
|
旅游学院
|
旅游学院
|
LY
|
|
舞蹈学院
|
舞蹈学院
|
WD
|
|
设计艺术学院
|
设艺学院
|
SY
|
|
思想政治理论课教学部
|
思政部
|
SZ
|
|
体育部
|
体育部
|
TY
|
各院(部)在进行课程考核材料归档时,应将编码贴于课程考核材料袋的底端,一个课程考核材料袋对应一个编码,并将编码与对应的专业、年级、班级及课程等信息进行汇总后形成《考核课程归档明细表》(见附件),连同课程考核材料袋一并移交教务处存档。
附件:×××院(部)考核课程归档明细表
教务处
2017年4月5日